11 Programmation dynamique
📚 Table des matières
- Paradigmes algorithmiques
- Programmation dynamique de la suite de Fibonacci
- L’optimisation du problème du rendu de monnaie
- Exercices
- Projet : le triangle de Pascal
🎯 Compétences évaluables :
- Utiliser la programmation dynamique pour écrire un algorithme
🧵 1. Paradigmes algorithmiques
⚓︎
✨ 1.1. L’algorithme glouton
⚓︎
🧠 Lorsque l’on utilise un algorithme glouton, on applique le paradigme glouton.
Ce paradigme est très utilisé pour les problèmes d’optimisation.
🔎 Caractéristiques importantes :
-
🧱 Construction incrémentale
La solution est construite étape par étape.
À chaque étape, on choisit la meilleure option immédiate (la plus prometteuse) selon une règle simple. -
🎯 Optimalité locale
Le choix est optimal localement, mais cela ne garantit pas une solution optimale au final.
👉 Cependant, dans certains problèmes, l’optimalité locale suffit. -
🧭 Heuristique
L’algorithme glouton peut être une heuristique (méthode de résolution qui privilégie des solutions approximatives) :
une méthode qui donne parfois une solution approchée (sous-optimale), mais rapide.
🧠 Mini-question — Comprendre le glouton
👉 Pourquoi dit-on que l’algorithme glouton fait des choix « localement optimaux » ?
✅ Réponse attendue
Parce qu’à chaque étape, il choisit la meilleure option sur le moment, sans garantir que ce choix mène à la meilleure solution globale.
🪁 1.2. Diviser pour régner
⚓︎
✂️ Ce paradigme consiste à :
- Diviser le problème en sous-problèmes indépendants (qui ne se chevauchent pas)
- Résoudre chaque sous-problème
- Combiner les solutions pour obtenir la solution finale
💡 Exemples classiques :
-
tri fusion
-
recherche dichotomique
🧩 1.3. La programmation dynamique
⚓︎
🧩 La programmation dynamique est un paradigme algorithmique adapté aux problèmes d’optimisation.
Elle repose sur une idée clé : éviter de recalculer plusieurs fois les mêmes sous-problèmes.
✅ Points essentiels :
-
🧱 Décomposition en sous-problèmes
On découpe un problème en sous-problèmes plus simples. -
💾 Stockage des résultats (mémoïsation)
On conserve les résultats intermédiaires dans un tableau ou une matrice. -
🏁 Principe d’optimalité de Bellman
Une solution optimale peut être construite en assemblant des solutions optimales de sous-problèmes. -
🔼🔽 Deux approches
-
🔼 Approche ascendante
On part des cas simples (petits n) et on remonte jusqu’au problème final. -
🔽 Approche descendante
On part du problème final et on calcule les sous-problèmes en mémorisant.
-
🧠 Mini-question — Identifier la programmation dynamique
👉 Quel est le but principal de la programmation dynamique ?
✅ Réponse attendue
Le but est d’éviter les recalculs, en mémorisant les résultats des sous-problèmes déjà résolus.
🛡️ 2. Programmation dynamique de la suite de Fibonacci
⚓︎
🧠 Capytale : Le code vous sera fourni par votre enseignant
📌 Définition mathématique :
Fn = 0 si n = 0
1 si n = 1
F(n−1)+F(n−2) si n > 1
🧫 2.1. Fibonacci : algorithme itératif
⚓︎
🧠 La version itérative a déjà été vue en première. Elle est rapide car elle calcule les valeurs une seule fois.
🧠 Activité n° 1 — Fibonacci (version itérative)
👉 Tester la fonction suivante pour n = 6.
def fibonacci_iteratif(n):
u, v = 0, 1
for i in range(n-1):
u, v = v, u+v
return v
🧪 Tester ensuite avec n = 10, n = 100, …
❓ Y a-t-il un problème ?
✅ Solution (méthode attendue)
✔️ Pour n = 6 → 8
✔️ Pour n = 10 → 55
✅ Pour n = 100, ça reste rapide car :
-
on fait une boucle de taille
n→ complexité O(n) -
Python gère les grands entiers automatiquement
✅ Conclusion : la version itérative est efficace.
🎯 2.2. Fibonacci : algorithme récursif (naïf)
⚓︎
🧠 La version récursive suit directement la définition, mais elle est souvent très inefficace.
🧠 Activité n° 2 — Fibonacci (récursif naïf)
👉 Tester la fonction suivante pour n = 6.
def fibonacci_recursif(n):
if n == 0 or n == 1:
return n
else:
return fibonacci_recursif(n-1) + fibonacci_recursif(n-2)
🧪 Tester ensuite avec n = 10, n = 30, n = 40, …
❓ Que constates-tu ?
✅ Solution (méthode attendue)
✔️ Pour n = 6, on obtient 8 (même résultat que l’itératif).
⚠️ Mais dès que n devient grand :
-
le programme devient très lent
-
on a l’impression que ça “bloque” (souvent dès
n ≈ 35-40)
✅ Explication :
-
la fonction recalculent plusieurs fois les mêmes valeurs (ex :
fib(2),fib(3), etc.) -
le nombre d’appels augmente de manière exponentielle
👉 Conclusion : il faut mémoriser les résultats → programmation dynamique.
Cette fonction est très peu performante.
En effet, programmer récursivement cette suite est contre-productif, car elle nécessite de résoudre plusieurs fois le même sous-problème (un même terme). Elle ne mémorise pas les termes déjà calculés pour s’en resservir.
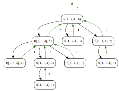
Pour n = 6, il est possible d’illustrer le fonctionnement de ce programme avec le graphe des appels récursifs suivant :

On voit bien que certaines valeurs sont calculées plusieurs fois.
Et les appels augmentent de manière exponentielle comme on peut le voir dans l’arbre des appels de fib(8) :

Il faut donc mémoriser ces valeurs : on va utiliser un tableau (structure de stockage).
De plus, l'utilisation de ce tableau va permettre de transformer cet algorithme récursif en un itératif :
il suffit de changer l'ordre de parcours ; au lieu de diminuer de n à 1 et 0 comme dans l'algorithme récursif, il suffit d'augmenter dans le tableau de 0 et 1 à n.

🎭 2.3. La suite de Fibonacci : avec mémoïsation (top-down)
⚓︎
🧠 Dans cette partie, on améliore l’algorithme récursif naïf en appliquant le principe de mémoïsation.
👉 L’idée est de :
- ✏️ partir d’un algorithme récursif naïf (comme précédemment),
- 💾 mémoriser les résultats déjà calculés dans une structure (liste ou dictionnaire),
- 🚀 réduire drastiquement le temps de calcul,
- 🔁 tendre vers une transformation du raisonnement récursif en approche optimisée.
🧠 Activité n° 3 — Fibonacci avec mémoïsation (liste, top-down)
👉 Étudier le principe de la mémoïsation.
# initialisation d'un tableau contenant des -1
F = [-1] * 101
def fibonacci_mem(n):
pass
🧪 Tester avec n = 6, n = 10, n = 100
❓ Y a-t-il encore un problème de performance ?
🔗 Visualisation des appels récursifs :
lien
✅ Solution (méthode attendue)
F = [-1] * 101
def fibonacci_mem(n):
if n == 0 or n == 1:
return n
if F[n] == -1:
F[n] = fibonacci_mem(n-1) + fibonacci_mem(n-2)
return F[n]
✔️ Les résultats sont désormais mémorisés dans la liste F.
✔️ Chaque valeur de Fibonacci est calculée une seule fois.
✔️ Les performances sont très fortement améliorées, même pour n = 100.
🔼 Pourquoi parle-t-on d’approche top-down ?⚓︎
On parle d’approche top-down parce que :
-
🔹 La fonction
fibonacci_mem(n)appelle récursivement
fibonacci_mem(n-1)etfibonacci_mem(n-2). -
🔹 On part du problème global (calculer le terme
n)
et on le décompose en sous-problèmes de plus en plus petits,
jusqu’aux cas de base (n == 0oun == 1). -
🔹 À chaque appel récursif, on mémorise le résultat dans la structure
F,
afin d’éviter de recalculer plusieurs fois les mêmes valeurs.
👉 Cela correspond exactement à la définition de la programmation dynamique top-down avec mémoïsation.
💡 Remarque :
On peut bien sûr intégrer la création de la structure de mémoïsation directement dans la fonction, afin d’obtenir un code plus élégant et plus autonome.
🧠 Activité n° 4 — Fibonacci avec mémoïsation intégrée (liste, top-down)
👉 Observer une version plus compacte et plus élégante.
def fibonacci_mem2(n, F=[0, 1]):
if n >= len(F):
F.append(fibonacci_mem2(n-1, F) + fibonacci_mem2(n-2, F))
return F[n]
🧪 Tester avec n = 6, n = 10, n = 100
❓ Y a-t-il un problème ?
✅ Solution (analyse attendue)
✔️ Cette version est correcte et très efficace.
⚠️ Attention toutefois :
-
l’argument
Fest une liste mutable par défaut -
son contenu est conservé entre deux appels successifs
👉 Ce comportement est acceptable ici, mais doit être maîtrisé.

🧠 Activité n° 5 — Fibonacci avec mémoïsation (dictionnaire, top-down)
👉 Comparer la mémoïsation avec une liste et avec un dictionnaire.
def fibonacci_mem3(n, F={0: 0, 1: 1}):
pass
🧪 Tester avec n = 6, n = 10, n = 100
✅ Solution (méthode attendue)
def fibonacci_mem3(n, F={0: 0, 1: 1}):
if n not in F:
F[n] = fibonacci_mem3(n-1, F) + fibonacci_mem3(n-2, F)
return F[n]
✔️ L’accès à un élément du dictionnaire est en O(1) en moyenne.
✔️ L’accès à un élément d’une liste par indice est aussi en O(1).
👉 Dans ce problème précis, les performances sont comparables.

🧠 Liste ou dictionnaire : quel impact sur les performances ?⚓︎
L’accès à un élément d’un dictionnaire se fait en O(1) en moyenne, grâce à l’utilisation d’une table de hachage.
Pour une liste, l’accès à un élément par son indice (L[i]) est également en O(1).
En revanche, rechercher une valeur sans connaître son indice (x in L) est en O(n), car il faut parcourir la liste.
Dans le cas de la suite de Fibonacci en programmation dynamique, on accède toujours aux éléments par indice connu.
👉 La complexité d’accès est donc O(1) dans les deux cas (liste ou dictionnaire).
On pourrait s’attendre à ce que le dictionnaire soit plus efficace grâce à sa flexibilité, et que la liste soit moins performante.
En pratique, la différence n’est pas aussi marquée. Pourquoi ?
🔍 Explication :
- Dans l’algorithme de Fibonacci, on accède toujours aux deux dernières valeurs calculées.
- Ces valeurs sont stockées dans des emplacements mémoire contigus dans le cas d’une liste.
- Le processeur exploite alors la mémoire cache, qui conserve à portée immédiate les données récemment utilisées.
👉 Cette localité mémoire permet un traitement très rapide, malgré la simplicité apparente de la liste.
📈 Bilan sur la complexité :
On observe ainsi, en pratique, un temps de calcul proportionnel à n dans les deux cas
(cette situation est parfois qualifiée de complexité pseudo-linéaire).
On parle parfois de pseudo-linéaire car le nombre d’opérations dépend aussi de la taille des nombres manipulés
➡️ La liste, bien que moins souple qu’un dictionnaire, profite pleinement de la mémoire cache, ce qui la rend très compétitive en pratique pour ce type d’algorithme.
🧩 À retenir :
-
Liste et dictionnaire offrent ici des performances comparables
-
Le contexte d’utilisation est plus important que la structure elle-même
-
La programmation dynamique repose autant sur la stratégie algorithmique que sur le choix de la structure de données
🪁 2.4. La suite de Fibonacci : approche de bas en haut (bottom-up)
⚓︎
🧱 Cette fois, on change complètement de stratégie.
➡️ On ne part plus du problème global, mais des cas de base, que l’on combine progressivement.
🧠 Activité n° 6 — Fibonacci approche bottom-up
👉 Implémenter la version ascendante de Fibonacci.
def fiboMonte(n):
fib = [0 for _ in range(n + 2)]
fib[1] = 1
for i in range(2, n + 1):
fib[i] = fib[i - 1] + fib[i - 2]
return fib[n]
🧪 Tester avec n = 6, n = 10, n = 100
✅ Solution (analyse attendue)
✔️ Cette version est itérative.
✔️ Chaque valeur est calculée une seule fois.
✔️ Il n’y a aucun appel récursif, donc aucun surcoût.
✔️ La complexité est O(n) en temps et O(n) en mémoire.

🔍 Exemple d’exécution : fiboMonte(5)⚓︎
-
Initialisation :
fib = [0, 1, 0, 0, 0, 0, 0] -
Boucle :
-
i = 2→fib[2] = 1 -
i = 3→fib[3] = 2 -
i = 4→fib[4] = 3 -
i = 5→fib[5] = 5
-
-
Résultat retourné : 5
🔽 L’approche bottom-up (de bas en haut)⚓︎
L’approche bottom-up consiste à :
-
🔹 Résoudre d’abord les plus petits sous-problèmes, souvent les cas de base
(par exemplefibo(0)etfibo(1)). -
🔹 Construire progressivement la solution finale
en remontant pas à pas vers le problème global. -
🔹 Utiliser une structure itérative
(généralement une boucle) plutôt que la récursion. -
🔹 Éviter les appels multiples et coûteux de fonctions récursives,
ce qui améliore fortement les performances.
✨ 2.5. La suite de Fibonacci : version pythonesque
⚓︎
🧠 Jusqu’ici, nous avons vu plusieurs versions de Fibonacci en programmation dynamique.
Il existe une version encore plus efficace, très compacte, qui exploite parfaitement les capacités du langage Python.
🧠 Activité n° 7 — Fibonacci bottom-up (version pythonesque)
👉 On considère la fonction suivante :
def fiboMonte2(n):
a, b = 0, 1
for i in range(n):
a, b = b, a + b
return a
🧪 Travail demandé :
-
Tester la fonction pour
n = 6,n = 10,n = 100 -
Puis tester avec des valeurs beaucoup plus grandes
❓ Question :
Observe-t-on un problème ? Le temps d’exécution évolue-t-il comme prévu ?
✅ Analyse et réponse attendues
✔️ La fonction est correcte et renvoie les bonnes valeurs, cohérentes avec la définition
F(0) = 0, F(1) = 1 utilisée dans tout le chapitre.
| n | résultat attendu |
|---|---|
| 0 | 0 |
| 1 | 1 |
| 6 | 8 |
| 10 | 55 |
✔️ Elle utilise une approche bottom-up :
-
pas de récursion
-
une simple boucle
-
seulement deux variables
✔️ En nombre d’itérations, la complexité est bien O(n).
⚠️ Cependant, pour de très grandes valeurs de n, le temps d’exécution augmente plus vite qu’on ne l’imaginait.
📈 Une impression trompeuse : « on dirait du O(n²) »⚓︎
On a montré que l’algorithme est linéaire.
Pourtant, lorsqu’on observe les temps d’exécution pour de très grandes valeurs de n, la courbe semble se courber, donnant l’impression d’un comportement en O(n²).
⏳ On peut explorer des valeurs très grandes de n…
il faut simplement un peu de patience.

🙏 Merci à Mireille Coilhac
❓ Pourquoi cette impression de ralentissement ?⚓︎
🔁 Dans l’approche bottom-up avec liste (vue précédemment), Python doit :
-
accéder à deux cases mémoire (
i-1eti-2) à chaque itération ; -
gérer une structure dynamique (la liste), ce qui introduit un léger surcoût lorsque la liste devient grande.
Même si chaque accès est en O(1), la latence mémoire et la gestion de la structure peuvent provoquer des ralentissements.
🔍 La raison principale (à ne pas oublier)⚓︎
👉 Le ralentissement observé ne vient pas seulement de la structure utilisée.
- Les termes de la suite de Fibonacci deviennent très grands.
- Les entiers Python ont une taille variable.
- Additionner deux très grands entiers n’est plus une opération constante.
📌 Le temps d’exécution dépend donc aussi de la taille des nombres manipulés, et pas uniquement du nombre d’itérations.
⚡ Pourquoi la version pythonesque est la plus rapide en pratique⚓︎
L’approche pythonesque :
- ❌ n’utilise aucune structure dynamique (pas de liste) ;
- ✔️ se limite à deux entiers, stockés dans des variables locales ;
- ✔️ exploite très efficacement la mémoire cache du processeur.
👉 Bilan :
- Les deux algorithmes sont en O(n) en nombre d’itérations ;
- Mais le coefficient caché est beaucoup plus faible pour cette version ;
- 👉 C’est pourquoi elle est nettement plus rapide en pratique.
🧩 À retenir :
-
Complexité théorique ≠ temps mesuré
-
Les détails d’implémentation comptent
-
Python gère des entiers arbitrairement grands → impact réel sur les performances
🎯 3. L’optimisation du problème du rendu de monnaie
⚓︎
🧠 La programmation dynamique consiste à résoudre un problème en le :
- 🔹 décomposant en sous-problèmes,
- 🔹 résolvant du plus petit au plus grand,
- 🔹 mémorisant les résultats intermédiaires afin d’éviter les calculs redondants.
Cette approche permet d’aboutir efficacement à une solution optimale, en explorant tous les cas possibles, mais de manière structurée et non redondante.
👉 À l’inverse, la force brute explore également tous les cas, mais sans mémorisation ni stratégie, ce qui la rend très coûteuse en temps.
🟡 Les algorithmes gloutons, quant à eux, procèdent différemment :
-
ils font des choix successifs immédiats selon un critère local (le “meilleur choix à court terme”),
-
ils sont souvent rapides,
-
mais ils ne garantissent pas toujours une solution optimale.
🪙 Énoncé du problème⚓︎
📌 Étant donné un système de monnaie (billets et pièces), comment rendre une somme de façon optimale, c’est-à-dire avec le nombre minimal de pièces et de billets ?
🧠 Capytale : Les codes seront fournis par votre enseignant : TNSI_11_méthode gloutonne et programmation dynamique_TD.
📀 3.1. Le rendu de monnaie en force brute
⚓︎
🔍 L’approche de force brute pour le problème du rendu de monnaie consiste à :
-
tester toutes les combinaisons possibles de pièces,
-
jusqu’à trouver toutes les solutions valides.
👉 Cette méthode est simple à comprendre, mais elle devient très lente lorsque la somme à rendre augmente, car les mêmes sous-problèmes sont recalculés plusieurs fois.
🧠 Activité n° 8 — Rendu de monnaie en force brute
👉 Ecrire un programme permettant de trouver toutes les combinaisons possibles pour rendre une somme de 6 €.
def rendre_monnaie_brute(monnaie, somme):
pass
if __name__ == "__main__":
monnaie = [1, 3, 4]
somme = 6
assert rendre_monnaie_brute(monnaie, somme) == [
[0, 2, 0],
[2, 0, 1],
[3, 1, 0],
[6, 0, 0]
]
🧪 Travail demandé :
-
comprendre ce que représente chaque liste de résultats,
-
vérifier que toutes les combinaisons possibles sont bien présentes.
✅ Solution (principe attendu)
✔️ L’algorithme explore toutes les possibilités.
✔️ Chaque solution correspond à une combinaison de pièces :
-
[0, 2, 0]→ 2 pièces de 3 € -
[2, 0, 1]→ 2 pièces de 1 € et 1 pièce de 4 € -
etc.
⚠️ Les mêmes sous-problèmes sont recalculés plusieurs fois.
👉 Cette approche est correcte, mais très inefficace dès que la somme augmente.
📌 À retenir :
- ✔️ La force brute donne toujours des solutions correctes
- ❌ Elle n’est pas adaptée aux grandes sommes
- 🔁 Elle illustre parfaitement le besoin de programmation dynamique
🧮 3.2. Application classique avec les algorithmes gloutons
⚓︎
🧠 Un algorithme glouton résout un problème en faisant, à chaque étape, le meilleur choix local possible, sans jamais revenir en arrière.
Dans le cas du rendu de monnaie, cela consiste à :
-
prendre la plus grande pièce possible,
-
puis recommencer jusqu’à ce que toute la somme soit rendue.
✔️ Cette approche est simple et souvent rapide.
❌ Mais elle ne garantit pas toujours une solution optimale.
👉 Elle fonctionne correctement lorsque le système de monnaie est canonique (c’est le cas des euros), mais peut échouer pour d’autres systèmes.
🧠 Activité n° 9 — Rendu de monnaie avec un algorithme glouton
Tester le programme avec une somme de 6 €.
def rendre_monnaie_glouton(monnaie, somme):
# Trier la liste des pièces par ordre décroissant
monnaie.sort(reverse=True)
# Initialiser le résultat
resultat = [0] * len(monnaie)
# Pour chaque pièce
for i in range(len(monnaie)):
# Tant que la somme est supérieure ou égale à la valeur de la pièce
while somme >= monnaie[i]:
somme -= monnaie[i]
resultat[i] += 1
return resultat
if __name__ == "__main__":
monnaie = [1, 3, 4]
somme = 6
assert rendre_monnaie_glouton(monnaie, somme) == [1, 0, 2]
🧪 Travail demandé :
-
exécuter le programme,
-
interpréter le résultat obtenu,
-
comparer avec la solution optimale.
✅ Analyse et résultat attendus
✔️ L’algorithme glouton retourne :
[1, 0, 2]→ 1 pièce de 4 € et 2 pièces de 1 €
👉 soit 3 pièces au total.
❌ Or, la solution optimale est :
- 2 pièces de 3 € → 2 pièces seulement.
✔️ L’algorithme glouton trouve donc une solution,
❌ mais pas la meilleure possible.
📌 Explication :
-
le système de monnaie
[1, 3, 4]n’est pas canonique, -
une fois une pièce choisie, l’algorithme ne peut pas revenir en arrière.
🧠 À retenir sur les algorithmes gloutons⚓︎
- ✔️ Ils sont souvent très rapides (beaucoup plus que la force brute).
- ❌ Ils ne garantissent pas toujours une solution optimale.
- 🔁 Une décision prise est définitive.
- 📈 Pour le rendu de monnaie, la complexité de l’algorithme glouton est linéaire par rapport à la somme rendue.
👉 Ce constat motive l’utilisation de la programmation dynamique, qui permet de garantir une solution optimale sans explorer inutilement tous les cas.
🧠 Capytale : Les codes seront fournis par votre enseignant : TNSI_11_Programmation dynamique - rendu de monnaie
🔎 3.3. Approche récursive
⚓︎
🧠 Avant d’introduire la programmation dynamique pour le rendu de monnaie, on commence par une approche récursive naïve. Elle permet de bien comprendre le problème… mais aussi ses limites.
🧠 Activité n° 10 — Rendu de monnaie (approche récursive)
👉 Tester la fonction récursive suivante qui renvoie le nombre minimal de pièces nécessaires pour rendre une somme donnée.
def rendre_monnaie_rec(monnaie, somme):
# Initialiser le nombre minimum de pièces
min_pieces = float('inf')
# Vérifier si la somme correspond exactement à une pièce disponible
if somme in monnaie:
return 1
else:
# Pour chaque pièce dont la valeur est inférieure ou égale à la somme
for piece in monnaie:
if piece <= somme:
# Compter le nombre de pièces en utilisant la récursion
nb_pieces = 1 + rendre_monnaie_rec(monnaie, somme - piece)
# Mettre à jour le minimum si nécessaire
if nb_pieces < min_pieces:
min_pieces = nb_pieces
return min_pieces
if __name__ == "__main__":
monnaie = [1, 3, 4]
somme = 6
assert rendre_monnaie_rec(monnaie, somme) == 2
✅ Explication de l’algorithme
✔️ La fonction est récursive.
✔️ Cas simple :
- si la somme correspond exactement à une pièce disponible, une seule pièce suffit → on retourne
1.
✔️ Sinon :
-
la fonction essaie toutes les pièces possibles,
-
elle appelle récursivement la fonction pour la somme restante,
-
elle conserve la solution utilisant le moins de pièces.
✔️ À la fin, la fonction retourne le minimum parmi toutes les possibilités testées.
⚠️ Si la somme ne peut pas être rendue (cas non traité explicitement ici), la fonction retourne float('inf'), représentant un pire cas.
🧠 Activité n° 11 — Analyse de l’approche récursive
👉 Expliquer en quoi cette méthode ne relève pas du paradigme
« diviser pour régner », mais plutôt d'une approche par force brute récursive.
✅ Réponse attendue
✔️ À première vue, la fonction ressemble au diviser pour régner :
elle décompose le problème (rendre somme) en sous-problèmes plus petits
(rendre somme - pièce).
❌ Mais ce n'est pas du diviser pour régner, pour une raison essentielle :
👉 Dans le diviser pour régner (vu en section 1.2), les sous-problèmes sont indépendants : résoudre l'un ne nécessite pas de résoudre l'autre.
👉 Ici, les sous-problèmes se chevauchent : la même somme intermédiaire
(par exemple somme = 2) peut être recalculée de nombreuses fois par
différentes branches de l'arbre récursif.
✔️ C'est exactement cette propriété — des sous-problèmes qui se chevauchent — qui distingue les problèmes relevant de la programmation dynamique de ceux relevant du diviser pour régner.
📌 Bilan :
| Paradigme | Sous-problèmes | Mémorisation |
|---|---|---|
| Diviser pour régner | Indépendants | Non nécessaire |
| Programmation dynamique | Qui se chevauchent | Indispensable |
👉 Cette méthode est donc une force brute récursive : elle explore tous les chemins possibles sans mémoriser les résultats intermédiaires, ce qui la rend très inefficace et motive directement l'utilisation de la programmation dynamique dans la partie suivante.
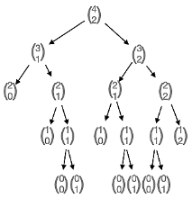
🌳 Arbre des appels récursifs⚓︎
Le schéma suivant représente tous les appels récursifs effectués par la fonction rendre_monnaie_rec([1,3,4], 6) :

🔗 Visualisation interactive :
lien
🔍 Analyse de l’arbre⚓︎
- ✔️ Tous les chemins possibles sont explorés → force brute.
- ❌ Certains chemins mènent à une impasse (somme impossible à rendre).
- 🔁 Les mêmes sous-problèmes sont recalculés plusieurs fois.
-
📉 La profondeur minimale de l’arbre est 2 :
-
solution optimale :
3 + 3.
D’autres solutions valides comme (1, 1, 4) ou (4, 1, 1) utilisent 3 pièces, donc sont moins bonnes.
⚠️ Limite majeure de cette approche⚓︎
❗ Le principal problème de cette méthode est qu’elle répète les mêmes calculs.
👉 C’est exactement cette inefficacité qui va motiver l’utilisation de la programmation dynamique, avec mémoïsation, dans la partie suivante.
💡 3.4. Programmation dynamique
⚓︎
🧠 Pour optimiser le problème du rendu de monnaie, on utilise la programmation dynamique, selon deux approches possibles :
-
💾 Mémoïsation (top-down) : on mémorise les résultats intermédiaires ;
-
🔁 Approche itérative (bottom-up) : on élimine la récursion et on accélère fortement les calculs.
Dans les deux cas, l’objectif est le même :
👉 éviter de recalculer plusieurs fois les mêmes sous-problèmes.
📐 Algorithme de principe (bottom-up)⚓︎
fonction rendu_monnaie_dyna(somme_à_rendre, système)
nb ← tableau contenant les entiers de 0 à somme_à_rendre
pour s allant de 1 à somme_à_rendre
pour toutes les pièces p du système
si p ≤ s alors
nb[s] ← minimum(nb[s], 1 + nb[s-p])
fin si
fin pour
fin pour
renvoyer nb[somme]
fin fonction
📌 Cet algorithme :
-
résout d’abord les plus petites sommes,
-
construit progressivement la solution optimale,
-
garantit une solution optimale si elle existe.
📗 3.4.1. Première approche : à la main
⚓︎
🧠 Activité n° 12 — Programmation dynamique du rendu de monnaie (à la main)
👉 On exécute l’instruction suivante :
rendu_monnaie_dyna(5, [1, 2])
-
Quelle est la somme à rendre ?
-
Quel est le système monétaire utilisé ?
-
Décrire les différentes étapes de l’algorithme.
✅ Solution attendue
- Somme à rendre :
👉 La somme à rendre est 5.
2. Système monétaire utilisé :
👉 Le système monétaire est composé des pièces de 1 € et 2 €.
3. Principe de l’algorithme :
L’algorithme de programmation dynamique :
-
calcule successivement le nombre minimal de pièces nécessaires pour rendre les sommes de 1 jusqu’à la somme demandée ;
-
pour chaque somme intermédiaire, il teste toutes les pièces disponibles ;
-
il conserve, pour chaque somme, la meilleure solution trouvée (celle qui utilise le moins de pièces).
👉 La présence de la pièce de 1 € garantit que toutes les sommes peuvent être rendues, ce qui permet à l’algorithme de fonctionner sans cas impossible.
🧠 Explication pas à pas
🧠 Initialisation⚓︎
On crée un tableau nb de taille somme_à_rendre + 1 (ici de 0 à 5) :
nb = [0, ∞, ∞, ∞, ∞, ∞]
-
nb[0] = 0: il faut 0 pièce pour rendre la somme 0. -
Les autres cases sont initialisées à l’infini (ou une grande valeur), car le nombre minimal de pièces n’est pas encore connu.
🔁 Remplissage du tableau (approche bottom-up)⚓︎
On calcule progressivement nb[s] pour s allant de 1 à 5.
À chaque étape, on applique la formule :
\(nb[s] = \min_{p \le s}(1 + nb[s - p])\)
🔹 Étape s = 1⚓︎
-
Pièce
1: -
1 ≤ 1→nb[1] = min(∞, 1 + nb[0]) = 1
Résultat :
nb = [0, 1, ∞, ∞, ∞, ∞]
👉 Il faut 1 pièce de 1 € pour rendre 1.
🔹 Étape s = 2⚓︎
-
Pièce
1: -
1 + nb[1] = 2 -
Pièce
2: -
1 + nb[0] = 1✅
Résultat :
nb = [0, 1, 1, ∞, ∞, ∞]
👉 Il faut 1 pièce de 2 € pour rendre 2.
🔹 Étape s = 3⚓︎
-
Pièce
1: -
1 + nb[2] = 2 -
Pièce
2: -
1 + nb[1] = 2
Résultat :
nb = [0, 1, 1, 2, ∞, ∞]
👉 Il faut 2 pièces (2 + 1) pour rendre 3.
🔹 Étape s = 4⚓︎
-
Pièce
1: -
1 + nb[3] = 3 -
Pièce
2: -
1 + nb[2] = 2✅
Résultat :
nb = [0, 1, 1, 2, 2, ∞]
👉 Il faut 2 pièces de 2 € pour rendre 4.
🔹 Étape s = 5⚓︎
-
Pièce
1: -
1 + nb[4] = 3 -
Pièce
2: -
1 + nb[3] = 3
Résultat final :
nb = [0, 1, 1, 2, 2, 3]
👉 Il faut 3 pièces (2 + 2 + 1) pour rendre 5.
✅ Résultat final⚓︎
La fonction renvoie :
nb[5] = 3
👉 Le nombre minimal de pièces nécessaires pour rendre la somme 5 est donc 3.
🔚 Résumé⚓︎
Somme s |
Meilleure solution | Nombre minimal de pièces |
|---|---|---|
| 1 | 1 | 1 |
| 2 | 2 | 1 |
| 3 | 2 + 1 | 2 |
| 4 | 2 + 2 | 2 |
| 5 | 2 + 2 + 1 | 3 |
📔 3.4.2. Implémentation
⚓︎
🧠 Activité n° 13 — Implémentation de l’algorithme dynamique
👉
1. Implémenter l’algorithme rendu_monnaie_dyna.
- Exécuter :
rendu_monnaie_dyna(10, [9, 3, 2])
✅ Analyse attendue
def rendu_monnaie_dyna(somme_a_rendre, systeme):
# Initialisation du tableau : +∞ sauf pour la somme 0
nb = [float('inf')] * (somme_a_rendre + 1)
nb[0] = 0 # Il faut 0 pièce pour rendre 0
for s in range(1, somme_a_rendre + 1):
for p in systeme:
if p <= s:
nb[s] = min(nb[s], 1 + nb[s - p])
if nb[somme_a_rendre] == float('inf'):
return -1 # somme impossible à rendre
return nb[somme_a_rendre]
# Tests
assert rendu_monnaie_dyna(5, [2, 1]) == 3 # 2 + 2 + 1
assert rendu_monnaie_dyna(6, [1, 3, 4]) == 2 # 3 + 3
assert rendu_monnaie_dyna(10, [9, 3, 2]) == 4 # 2 + 2 + 3 + 3
assert rendu_monnaie_dyna(1, [9, 3, 2]) == -1 # impossible
✅ La réponse est-elle correcte ?⚓︎
👉 Oui, le résultat renvoyé par l’algorithme est correct, même s’il peut paraître surprenant.
En effet, avec les pièces 9, 3 et 2, il est impossible de rendre la somme 10. Aucune combinaison de ces pièces ne permet d’obtenir exactement 10.
L’algorithme renvoie donc une valeur spéciale (∞, ou une grande valeur), ce qui signifie :
« La somme demandée n’est pas atteignable avec ce système de pièces. »
✅ Pourquoi ce résultat apparaît-il ?⚓︎
La programmation dynamique repose sur le principe suivant :
Pour pouvoir calculer correctement une somme
s, il faut que toutes les sous-sommess - psoient atteignables.
Dans ce cas :
-
10 - 9 = 1❌ impossible -
10 - 3 = 7❌ impossible -
10 - 2 = 8❌ impossible
Aucune sous-somme nécessaire n’est atteignable, donc :
-
la case
nb[10]ne peut jamais être mise à jour -
elle conserve sa valeur initiale (
∞)
👉 L’algorithme ne se trompe pas : il signale une impossibilité.
✅ Comment corriger ou améliorer ce comportement ?⚓︎
Il ne s’agit pas de corriger l’algorithme, mais d’améliorer son interface pour gérer explicitement ce cas.
On peut par exemple :
-
tester si la valeur finale est
∞ -
renvoyer une valeur spéciale (ex.
-1) ou un message explicite
def rendu_monnaie_dyna(somme, pieces):
nb = [float('inf')] * (somme + 1)
nb[0] = 0
for s in range(1, somme + 1):
for p in pieces:
if p <= s:
nb[s] = min(nb[s], 1 + nb[s - p])
if nb[somme] == float('inf'):
return -1 # somme impossible à rendre
return nb[somme]
🖌️ 3.4.3. Deuxième approche : pour aller plus loin
⚓︎
🧠 Dans l’implémentation précédente, on obtient uniquement le nombre minimal de pièces.
➡️ L’objectif est maintenant de retrouver la combinaison exacte des pièces utilisées et de gérer explicitement le cas où le rendu est impossible.
def rendu_monnaie_dyna_combi(somme_à_rendre, système):
'''
Renvoie une liste minimale de pièces constituant la combinaison des pièces à rendre
pour la somme donnée avec le système de pièces donné.
La fonction renvoie [-1] lorsque le rendu est impossible.
'''
combi = [[0 for k in range(s)] for s in range(0, somme_à_rendre + 1)]
for s in range(1, somme_à_rendre + 1):
for piece in système:
if piece <= s:
if len(combi[s]) > 1 + len(combi[s - piece]) or 0 in combi[s]:
combi[s] = combi[s - piece] + [piece]
if 0 in combi[somme_à_rendre]:
return [-1]
return combi[somme_à_rendre]
# Quelques exemples
assert rendu_monnaie_dyna_combi(49, [50, 20, 10, 5, 2, 1]) == [2, 2, 5, 20, 20]
assert rendu_monnaie_dyna_combi(49, [30, 24, 12, 6, 3, 1]) == [1, 24, 24]
assert rendu_monnaie_dyna_combi(49, [9, 3, 2]) == [2, 2, 9, 9, 9, 9, 9]
assert rendu_monnaie_dyna_combi(5, [2, 1]) == [1, 2, 2]
assert rendu_monnaie_dyna_combi(10, [9, 3, 2]) == [2, 2, 3, 3]
assert rendu_monnaie_dyna_combi(1, [9, 3, 2]) == [-1]
🧠 Activité n° 14 — Analyse d’un algorithme dynamique avancé
-
Expliquer la ligne 7.
-
Expliquer le test de la ligne 11.
-
Que renvoie la fonction pour le système
[9, 3, 2]et la somme10? Pourquoi ?
✅ Analyse attendue
1️⃣ Expliquer la ligne 7⚓︎
combi = [[0 for k in range(s)] for s in range(0, somme_à_rendre + 1)]
👉 Cette ligne initialise un tableau combi tel que :
-
combi[s]contient une combinaison de pièces permettant de rendre la sommes; -
la présence du nombre
0dans une combinaison signifie que la somme n’est pas encore atteignable.
Ainsi :
-
combi[0] = [](rendre 0 est possible sans pièce) -
pour les autres sommes, la combinaison contient au départ des
0, servant de sentinelle d’impossibilité.
2️⃣ Expliquer le test de la ligne 11⚓︎
if 0 in combi[somme_à_rendre]:
👉 Ce test permet de vérifier si aucune combinaison valide n’a été trouvée pour la somme demandée.
-
Si
0est encore présent danscombi[somme_à_rendre], cela signifie que : -
aucune mise à jour n’a permis de construire une combinaison valide ;
-
la somme est impossible à rendre avec le système de pièces donné.
La fonction renvoie alors [-1].
3️⃣ Résultat pour le système [9, 3, 2] et la somme 10⚓︎
La fonction renvoie :
[2, 2, 3, 3]
👉 Explication :
-
la somme
10est atteignable avec les pièces[9, 3, 2]; -
la combinaison optimale utilise 4 pièces : ( 2 + 2 + 3 + 3 = 10 ) ;
-
aucune combinaison utilisant moins de pièces n’existe ;
-
la programmation dynamique garantit donc une solution optimale.
🙏 Merci à Charles Poulmaire.
4. 🔎 Exercices :
⚓︎
🧠 Capytale : Les codes seront fournis par votre enseignant.
🧩 Exercice n°1 : le pb du sac à dos
On rappelle le problème du sac à dos déjà vu en première : on dispose de n objets assimilables à des couples (valeur, poids) et d'un sac à dos qui peut porter un poids maximum w. L'objectif est de maximiser la valeur des objets contenus dans le sac.
Nous avons vu deux stratégies en première :
-
force brute : tester toutes les combinaisons possibles, envisageable avec 20 objets par exemple, mais pas avec 60 objets.
-
algorithmes gloutons :
- glouton 1 : on prend d'abord les objets de valeurs maximales.
- glouton 2 : on prend d'abord les objets maximisant le rapport valeur/poids.
Les algorithmes gloutons sont très rapides, en O(n log₂(n)) si on trie les objets suivant le critère choisi avec un bon algorithme de tri, mais ne garantissent pas d'obtenir la meilleure solution.
Résolution par programmation dynamique
On peut construire une solution optimale du problème à i objets à partir d'une résolution du problème à i – 1 objets.
Supposons qu'on a résolu le problème à i – 1 objets pour un poids maximal p allant de 0 à w.
On rajoute un i-ème objet (vᵢ, pᵢ). Alors, une solution optimale du problème à i objets avec un poids maximal de w est :
-
soit une solution optimale du problème à i – 1 objets avec le poids maximal w,
-
soit une solution optimale du problème à i – 1 objets avec le poids maximal w – pᵢ à laquelle on ajoute le i-ème objet.
On résout donc successivement les problèmes à 1 objet, 2 objets, 3 objets, … pour les poids allant de 0 à w. On présente les solutions dans un tableau. Le contenu du tableau dépend de l'ordre des objets mais pas la dernière ligne.
Exemple
Résolution du problème du sac à dos avec la liste
objets = [(3, 2), (8, 10), (2, 2), (8, 1), (4, 6), (6, 6)]
et le poids maximal w = 10 kg. Les objets sont au format (valeur, poids).
| Objets\Poids | 0 | 1 | 2 | 3 | 4 | 5 | 6 | 7 | 8 | 9 | 10 |
|---|---|---|---|---|---|---|---|---|---|---|---|
| 0 | 0 | 0 | 0 | 0 | 0 | 0 | 0 | 0 | 0 | 0 | 0 |
| 1 (3,2) | 0 | 0 | 3 | 3 | 3 | 3 | 3 | 3 | 3 | 3 | 3 |
| 2 (8,10) | 0 | 0 | 3 | 3 | 3 | 3 | 3 | 3 | 3 | 3 | 8 |
| 3 (2,2) | 0 | 0 | 3 | 3 | 5 | 5 | 5 | 5 | 5 | 5 | 8 |
| 4 (8,1) | 0 | 8 | 8 | 11 | 11 | 13 | 13 | 13 | 13 | 13 | 13 |
| 5 (4,6) | 0 | 8 | 8 | 11 | 11 | 13 | 13 | 13 | 13 | 15 | 15 |
| 6 (6,6) | 0 | 8 | 8 | 11 | 11 | 13 | 13 | 14 | 14 | 17 | 17 |
La valeur maximale est 17, atteinte avec un poids de 9 kg.
Remontée pour retrouver les objets choisis :
-
La valeur 17 (ligne 6, poids 9) diffère de la ligne 5 → on a pris l'objet 6 (valeur 6, poids 6). Poids restant : 9 – 6 = 3, on remonte à la ligne 5.
-
La valeur à (ligne 5, poids 3) = 11, identique à (ligne 4, poids 3) → on n'a pas pris l'objet 5. On remonte à la ligne 4.
-
La valeur à (ligne 4, poids 3) = 11 diffère de (ligne 3, poids 3) = 3 → on a pris l'objet 4 (valeur 8, poids 1). Poids restant : 3 – 1 = 2, on remonte à la ligne 3.
-
La valeur à (ligne 3, poids 2) = 3, identique à (ligne 2, poids 2) = 3 → on n'a pas pris l'objet 3. On remonte à la ligne 2.
-
La valeur à (ligne 2, poids 2) = 3, identique à (ligne 1, poids 2) = 3 → on n'a pas pris l'objet 2. On remonte à la ligne 1.
-
La valeur à (ligne 1, poids 2) = 3 diffère de (ligne 0, poids 2) = 0 → on a pris l'objet 1 (valeur 3, poids 2).
👉 Solution optimale : objets 1, 4 et 6 — valeur totale = 3 + 8 + 6 = 17, poids total = 2 + 1 + 6 = 9 kg ✅
Exercice
Même exercice avec
objets = [(5, 3), (9, 2), (10, 5), (6, 4), (7, 1), (9, 3)] et w = 10.
Algorithme
1. Écrire l'algorithme en langage naturel permettant, à partir d'une liste d'objets au format (valeur, poids) et d'un poids maximal w, de construire le tableau des solutions du problème du sac à dos comme ci-dessus.
2. Écrire l'algorithme renvoyant une solution optimale à partir du tableau précédent.
ou
Expliquer la démarche en français le plus précisément possible.
3. Quelle est la complexité, en temps et en mémoire, de cette méthode de résolution ?
Programmation
Ouvrir le fichier sacados_eleve.py.
4. Écrire la fonction tableau_kp_dynamique(objets, w) qui renvoie le tableau donnant les solutions optimales pour 0 à len(objets) objets et des poids de 0 à w.
Exécuter le code pour tester votre fonction.
5. Écrire la fonction kp_dynamique(objets, w), qui utilise la fonction tableau_kp_dynamique(objets, w) et renvoie la valeur maximale et une liste d'objets réalisant cette valeur.
Exécuter la fonction test_dynamique() pour tester votre fonction.
🧩 Exercice n° 2 : le problème de la découpe
Une scierie récupère des troncs d'arbre de 10 mètres et plus pour en faire des planches.
Voici le prix moyen des planches qu'elle peut vendre actuellement en fonction de la longueur de la planche :
| Longueur (m) | 1 | 2 | 3 | 4 | 5 | 6 | 7 | 8 | 9 | 10 |
|---|---|---|---|---|---|---|---|---|---|---|
| Prix | 1 | 5 | 8 | 9 | 10 | 17 | 17 | 20 | 24 | 30 |
Pour chaque question, on note m[i] le prix optimal pour une planche de longueur i.
1. Quelle est la meilleure découpe pour une planche de 2 mètres ?
2. Quelle est la meilleure découpe pour une planche de 3 mètres ?
3. Quelle est la meilleure découpe pour une planche de 4 mètres ?
4. Quelle est la meilleure découpe pour une planche de 5 mètres ?
5. Quelle est la meilleure découpe pour une planche de 6 mètres ?
6. Quelle est la meilleure découpe pour une planche de 7 mètres ?
7. Expliquer comment fonctionne l'appel decoupe_optimale(prix, 7).
def decoupe_optimale(p, lg_max):
'''Renvoie au final le prix maximum qu'on peut obtenir à partir des prix p'''
m = [-math.inf for i in range(len(p))]
m[0] = 0
m[1] = p[1]
return dr(lg_max, p, m)
def dr(lg, p, m):
'''Renvoie le prix maximum d'une planche de longueur lg'''
# dr pour découpe récursive
if m[lg] != -math.inf: # condition d'arrêt
return m[lg]
else:
# 1 - on fixe le prix à - l'infini pour cette lg
prix_max = -math.inf
# 2 - on cherche le prix pour les différentes découpes
for i in range(1, lg + 1): #
prix_max = max(prix_max, p[i] + dr(lg - i, p, m))
# 3 - on mémoïse le prix max pour cette longueur de planche
m[lg] = prix_max
# 4 - on répond à l'appel
return prix_max
5. 🔎 Projet
⚓︎
🧠 Capytale : Les codes seront fournis par votre enseignant.
🧩 le triangle de Pascal
Principe :
En mathématiques, le triangle de Pascal est une présentation des coefficients binomiaux dans un triangle. Il fut nommé ainsi en l'honneur du mathématicien français Blaise Pascal. Il est connu sous l'appellation « triangle de Pascal » en Occident, bien qu'il fût étudié par d'autres mathématiciens, parfois plusieurs siècles avant lui.

premières lignes du triangle de Pascal
Cette figure permet de calculer les coefficients binomiaux d'un polynôme (x+y) à la puissance n :
\(n=2,\left(x+y\right)^2=\ x^2+2xy+y^2\)
\(n=3,\left(x+y\right)^3=\ x^3+3x^2y+3xy^2+y^3\)
\(n=4,\left(x+y\right)^4=\ x^4+4x^3y+6x^2y^2+4xy^3+y^4\)
voir compléments sur la page wikipedia : Lien
Propriétés :
-
Il est possible de calculer directement un coefficient binomial à l'aide de cette formule : \(C\left(\begin{matrix}n\\k\\\end{matrix}\right)=\frac{n!}{k!\left(n-k\right)!}\)
-
Un coefficient quelconque du triangle, situé à la ligne i et à la colonne j est calculé à partir de la formule de récurrence (i et j supérieurs à 1) :
\(C\left(\begin{matrix}i\\j\\\end{matrix}\right)=C\left(\begin{matrix}i-1\\j-1\\\end{matrix}\right)+C\left(\begin{matrix}i-1\\j\\\end{matrix}\right)\)

Dans le triangle ci-dessous, cela signifie :
1. qu'on remplit les lignes une par une,
2. qu'on ajoute deux valeurs voisines d'une même ligne pour obtenir celle sous la valeur de droite.
Par exemple le 3 est obtenu en faisant 1 + 2 = 3 (ses voisins du dessus).
On rappelle que les coefficients situés aux bords du triangle de Pascal valent toujours 1.
1. Compléter le triangle de Pascal suivant :
| n\k | 0 | 1 | 2 | 3 | 4 | 5 | 6 | 7 |
|---|---|---|---|---|---|---|---|---|
| 0 | 1 | |||||||
| 1 | 1 | 1 | ||||||
| 2 | 1 | 2 | 1 | |||||
| 3 | ||||||||
| 4 | ||||||||
| 5 | ||||||||
| 6 | ||||||||
| 7 |
2. Écrire les fonctions factorielle(n) et binome(n, k)
def factorielle(n):
pass
def binome(n, k):
pass
Tests :
>>> binome(3, 2)
3
>>> binome(2, 3)
0
>>> binome(3, 0)
1
3. Écrire une fonction récursive binome_rec(n, k)
def binome_rec(n, k):
pass
4. Écrire une fonction pascal(n)
def pascal(n):
pass
Test :
>>> pascal(9)
[[1, 0, 0, 0, 0, 0, 0, 0, 0, 0],
[1, 1, 0, 0, 0, 0, 0, 0, 0, 0],
[1, 2, 1, 0, 0, 0, 0, 0, 0, 0],
[1, 3, 3, 1, 0, 0, 0, 0, 0, 0],
[1, 4, 6, 4, 1, 0, 0, 0, 0, 0],
[1, 5, 10, 10, 5, 1, 0, 0, 0, 0],
[1, 6, 15, 20, 15, 6, 1, 0, 0, 0],
[1, 7, 21, 35, 35, 21, 7, 1, 0, 0],
[1, 8, 28, 56, 70, 56, 28, 8, 1, 0],
[1, 9, 36, 84, 126, 126, 84, 36, 9, 1]]
On remarque que l'on calcule souvent les mêmes coefficients binomiaux :

arbre de calcul des coefficients pour n=4, k=2
La mémoïsation consistera alors à stocker dans un tableau les solutions pour les sous-problèmes afin de ne pas les recalculer…
5. Écrire une fonction pascal_dyn(n) utilisant la programmation dynamique
def pascal_dyn(n):
pass