06b Arbre binaire de recherche
🗂️ Table des matières⚓︎
- 🔰 Introduction
- 🧾 Définition
- ⚡ Est-ce performant ?
- 🧩 Exemples
- 🛠️ Les algorithmes et les implémentations en Python
- 📝 Exercices
- 🚀 Projet
🎯 Compétences évaluables⚓︎
- Rechercher une clé dans un arbre de recherche
- Insérer une clé
1. 🔰 Introduction
⚓︎
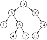
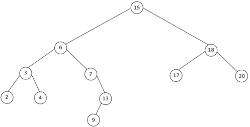
Le parcours infixe des arbres ci-dessous :

- Le premier arbre donne des valeurs non ordonnées
- Le second arbre donne des valeurs ordonnées
➡️ Disposer de valeurs ordonnées permet d’avoir des algorithmes plus performants.
C’est ce type d’arbre que l’on appelle un arbre binaire de recherche (ABR).
2.🧾 Définition
⚓︎
Un arbre binaire de recherche (ABR) (Binary Search Tree, BST) est une structure hiérarchique composée de nœuds. Chaque nœud possède au maximum deux enfants, ordonnés selon cette règle :
- Les fils gauches ont des valeurs inférieures à celle du nœud.
- Les fils droits ont des valeurs supérieures.
- Cette propriété est vraie pour tous les nœuds de l’arbre.
🌱 Le premier élément inséré devient la racine. On place ensuite les valeurs plus petites à gauche, et les plus grandes à droite.
3. ⚡ Est-ce performant ?
⚓︎
Un ABR permet des recherches rapides.
Prenons l’exemple suivant :
Rechercher la clé 9 👇

✅ Clé trouvée !
Rechercher la clé 3 👇

❌ La clé 3 n’est pas présente dans l’ABR.
🔎 Grâce à la structure ordonnée, la recherche s’apparente à une recherche dichotomique : on divise l’espace de recherche à chaque étape.
⏱️ La complexité moyenne des opérations sur un ABR est O(log n). C’est donc bien plus performant qu’un parcours linéaire d’une liste.
4. 🧩 Exemples
⚓︎
Exemple :
La séquence {8, 3, 10, 1, 6, 14, 4, 7, 13} donne l’arbre suivant :

🧠 Capytale
🌳 Activité n° 1 : Séquence d’un ABR
Quelle est la séquence associée à l’arbre binaire de recherche ci-dessous ?

❇️ Solution :
L’arbre correspond à une séquence ordonnée de gauche à droite.
Il faut donc lire les valeurs selon le parcours infixe (gauche → racine → droite).
👉 {2, 3, 4, 6, 7, 9, 13, 15, 17, 18, 20}
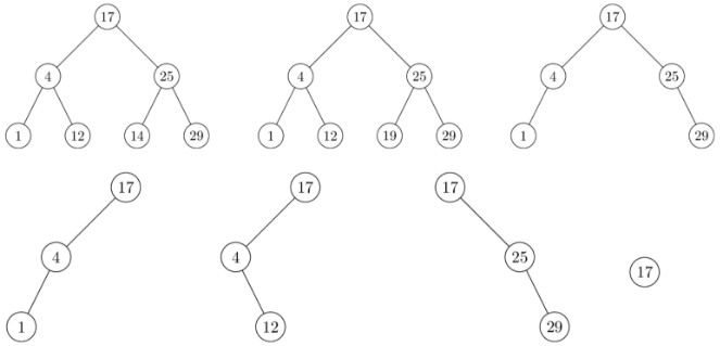
🧠 Activité n° 2 : Reconnaître un ABR
Identifier lequel des arbres suivants respecte les règles d’un arbre binaire de recherche.

❇️ Solution :
👉 Seul l’arbre où toutes les valeurs à gauche sont inférieures
et toutes celles à droite sont supérieures respecte la définition d’un ABR.
Seul le 1er arbre n'est pas un ABR.
🐾 Activité n° 3 : Construire un ABR — Cas vétérinaire
Un vétérinaire souhaite stocker les fiches médicales de ses animaux sous forme d’un ABR.
La clé de tri utilisée est le nom de l’animal, dans l’ordre alphabétique croissant.
Il reçoit les animaux dans cet ordre :
Gaufrette, Charlie, Médor, Flipper, Bubulle, Augustin.
Construire l’arbre correspondant.
❇️ Solution :
- Racine : Gaufrette
- Charlie < Gaufrette → gauche
- Médor > Gaufrette → droite
- Flipper < Gaufrette mais > Charlie → droite de Charlie
- Bubulle < Charlie → gauche de Charlie
- Augustin < Bubulle → gauche de Bubulle
🔁 Activité n° 4 : Impact de l’ordre d’insertion
Reprenons la séquence :
{Gaufrette, Charlie, Médor, Flipper, Augustin, Bubulle}
➤ Augustin arrive avant Bubulle.
L’arbre obtenu est-il le même ?
Quelle conclusion peut-on en tirer ?
❇️ Solution :
Non, l’arbre est différent car l’ordre d’insertion influence sa forme.
Un ABR ne dépend pas uniquement des valeurs, mais aussi de l’ordre d’ajout.
📌 À retenir :
- La valeur la plus à gauche → le minimum
- La valeur la plus à droite → le maximum
5. 🛠️ Les algorithmes et les implémentations en Python
⚓︎
5.1. 🧱 Créer un ABR
⚓︎
Un ABR est composé de nœuds. Chaque nœud contient :
- une valeur,
- un parent (facultatif),
- deux enfants (gauche et droite).
💻 Activité n° 5 : Création d’un ABR en Python
Implémenter la classe suivante :
class Node:
def __init__(self, value, left=None, right=None):
pass
def __str__(self):
pass
def estFeuille(self):
pass
Puis tester avec le code suivant :
if __name__ == "__main__":
n3 = Node(3)
n7 = Node(7)
n5 = Node(5, n3, n7)
print(n5)
print(n3.estFeuille())
print(n5.estFeuille())
❇️ Solution :
class Node:
def __init__(self, value, left=None, right=None):
self.value = value
self.left = left
self.right = right
def __str__(self):
return f"({self.value})"
def estFeuille(self):
return self.left is None and self.right is None
5.2. ❤️ Insérer dans un ABR
⚓︎
📘 Principe de l’algorithme d’insertion :
- Si l’arbre est vide, on crée la racine.
-
Sinon, on compare la clé au nœud courant :
-
Si elle est inférieure, on insère dans le sous-arbre gauche.
- Si elle est supérieure, dans le sous-arbre droit.
- L’insertion se fait récursivement jusqu’à trouver la bonne position.
🌳 Activité n° 6 : Insertion dans un ABR (fonction)
Créer la fonction inserer(T, data) qui applique l’algorithme ci-dessus.
On testera avec :
T = None
for value in [8, 3, 10, 1, 6, 14, 4, 7, 13]:
T = inserer(T, value)
print(T)
❇️ Solution :
class Node:
def __init__(self, value, left=None, right=None):
self.value = value
self.left = left
self.right = right
def inserer(T, data):
if T is None:
return Node(data)
if data < T.value:
T.left = inserer(T.left, data)
elif data > T.value:
T.right = inserer(T.right, data)
return T
🌿 Activité n° 7 : Insertion dans un ABR (méthode)
Créer la méthode insert(self, data) dans la classe Node.
On testera avec :
T = Node(8)
for value in [3, 10, 1, 6, 14, 4, 7, 13]:
T.insert(value)
print(T)
❇️ Solution :
class Node:
def __init__(self, value, left=None, right=None):
self.value = value
self.left = left
self.right = right
def insert(self, data):
if data < self.value:
if self.left is None:
self.left = Node(data)
else:
self.left.insert(data)
elif data > self.value:
if self.right is None:
self.right = Node(data)
else:
self.right.insert(data)
✅ Les deux approches (inserer() et insert()) sont équivalentes :
elles construisent toutes deux un ABR à partir d’une série de valeurs.
On peut représenter visuellement un ABR avec la bibliothèque Graphviz, qui permet d’afficher les nœuds et les liens parent-enfant.
🌿 Activité n° 8 : Représentation graphique de l’arbre (fonction)
Implémenter la fonction suivante pour afficher un arbre :
from graphviz import Digraph
def dessiner_arbre_graphviz(arbre):
"""
Génère un rendu visuel de l'ABR en utilisant Graphviz.
"""
def ajouter_noeud(graphe, arbre):
if arbre:
graphe.node(str(arbre.value))
if arbre.left:
graphe.edge(str(arbre.value), str(arbre.left.value))
ajouter_noeud(graphe, arbre.left)
if arbre.right:
graphe.edge(str(arbre.value), str(arbre.right.value))
ajouter_noeud(graphe, arbre.right)
dot = Digraph(comment="Arbre Binaire de Recherche")
ajouter_noeud(dot, arbre)
return dot
dot = dessiner_arbre_graphviz(T)
dot
❇️ Solution :
💡 La fonction crée un graphe orienté où :
- chaque nœud correspond à une valeur de l’arbre,
- et chaque lien représente la relation parent → enfant.
🌳 Activité n° 9 : Tester la représentation graphique
Tester le programme précédent avec les deux approches : méthode et fonction.
Avec la méthode :
abr = Node(6)
abr.insert(8)
abr.insert(3)
abr.insert(1)
abr.insert(4)
abr.insert(9)
abr.insert(2)
abr.insert(7)
abr.insert(5)
dot_abr = dessiner_arbre_graphviz(abr)
dot_abr
Puis avec la fonction :
T = Node(6)
inserer(T, 8)
inserer(T, 3)
inserer(T, 1)
inserer(T, 4)
inserer(T, 9)
inserer(T, 2)
inserer(T, 7)
inserer(T, 5)
dot_T = dessiner_arbre_graphviz(T)
dot_T
❇️ Solution :
Les deux approches produisent le même arbre visuel.
On peut éviter la répétition en insérant les valeurs avec une boucle sur liste :
valeurs = [8, 3, 1, 6, 4, 7, 10, 14, 13]
for v in valeurs:
inserer(T, v)
5.3. 🔍 ❤️ Recherche d’une clé dans un ABR ❤️
⚓︎
Pour rechercher une clé donnée, on applique la même logique que pour l’insertion :
- Si la clé est égale à la valeur du nœud courant → clé trouvée.
- Si elle est supérieure, on cherche dans le sous-arbre droit.
- Sinon, on cherche dans le sous-arbre gauche.
🧠 Activité n° 10 : Recherche dans un ABR (fonction)
Créer une fonction rechercher(T, cle) selon l’algorithme ci-dessus.
Tester avec la clé 7 puis 188.
❇️ Solution :
def rechercher(T, cle):
if T is None:
return False
if cle == T.value:
return True
elif cle < T.value:
return rechercher(T.left, cle)
else:
return rechercher(T.right, cle)
✅ Recherche :
- 7 → trouvée
- 188 → non trouvée
🌿 Activité n° 11 : Recherche dans un ABR (méthode)
Ajouter une méthode search() à la classe Node.
Tester-la avec les valeurs 7 et 188.
❇️ Solution :
class Node:
...
def search(self, cle):
if self.value == cle:
return True
elif cle < self.value and self.left:
return self.left.search(cle)
elif cle > self.value and self.right:
return self.right.search(cle)
else:
return False
👉 Les résultats sont identiques à ceux de la fonction rechercher().
5.4. 🌿 Parcours infixe
⚓︎
Le parcours infixe consiste à :
- parcourir le sous-arbre gauche,
- afficher la racine,
- puis parcourir le sous-arbre droit.
Il permet d’obtenir les valeurs dans l’ordre croissant.
🌳 Activité n° 12 : Parcours infixe
Créer une fonction parcours_infixe(T) qui affiche les valeurs de l’arbre dans l’ordre croissant.
Tester-la sur les deux arbres précédents. Que remarquez-vous ?
❇️ Solution :
def parcours_infixe(T):
if T:
parcours_infixe(T.left)
print(T.value, end=" ")
parcours_infixe(T.right)
✅ Le parcours infixe affiche toujours les valeurs triées d’un ABR.
6. 🔍 Exercices
⚓︎
🧠 => CAPYTALE Le code vous sera donné par votre enseignant
Exercice n° 01 : Implémentation de quelques méthodes dans un ABR
Utiliser la classe Node du cours pour implémenter les méthodes suivantes.
- Recopier le fichier ABR
- D’après les propriétés de l’arbre, le nœud ayant la plus petite valeur se trouve forcément le plus à gauche. Implémenter une méthode qui donnera le min de l’ABR
- Pour rechercher le maximum, c’est la logique inverse de la recherche du minimum, on descend le plus à droite possible. Implémenter une méthode qui donnera le maximum de l’ABR
- Implémenter la méthode ou la fonction donnant la hauteur de l’ABR (convention 1 pour la racine)
- Implémenter la méthode ou la fonction donnant le parcours en largeur de l’ABR
- Implémenter la méthode ou la fonction donnant la taille de l’ABR
Exercice n° 02 : Trier une liste en utilisant un ABR
- Créer une liste de 10 entiers aléatoires distincts, puis générer un ABR dont les clés sont ces entiers.
- Utiliser la fonction graphicarbre pour l’afficher.
- Quel parcours permet d’afficher ces nombres dans l’ordre croissant ?
- Écrire une fonction nom_du_parcours(abr, lst_triee) prenant en argument un ABR et une liste vide, et ajoutant les clés de l’ABR à la liste dans l’ordre.
- Écrire la fonction tri_abr(lst) renvoyant une copie triée de la liste lst en utilisant un ABR.
7. 🌿 Projet
⚓︎
🧠 => CAPYTALE Le code vous sera donné par votre enseignant
Exercice n° 01 : arbre binaire de recherche ABR

Insertion
L'insertion d'un nœud commence par une recherche : on cherche la clé du nœud à insérer ; lorsqu'on arrive à une feuille, on ajoute le nœud comme fils de la feuille en comparant sa clé à celle de la feuille : si elle est inférieure, le nouveau nœud sera à gauche ; sinon il sera à droite.
On choisit d’implémenter de tels arbres binaires à l’aide de la classe suivante, où on utilise des valeurs par défaut dans le constructeur pour les deux enfants :
class BinarySearchTree:
def __init__(self, key : int, left_child=None, right_child=None):
self.__key = int(key)
self.__left = left_child # None ou un arbre de la classe BinarySearchTree
self.__right = right_child # None ou un arbre de la classe BinarySearchTree
1 Implémenter une méthode __repr__()
def is_leaf(self):
""" fonction testant si l'arbre est une feuille"""
return not self.__left and not self.__right
def __repr__(self):
if self.is_leaf():
return "<" + str(self.__key) + ">"
left = "<>" if self.__left is None else self.__left.__repr__()
right = "<>" if self.__right is None else self.__right.__repr__()
return "<{0},{1},{2}>".format(self.__key, left, right)
2 Ajouter une méthode publique insert() qui ajoute un nœud à l’arbre.
3 Créer un ABR correspondant au schéma ci-dessus.
4 Valider le test unitaire suivant :
str(abr) == "<15,<12,<8,<>,<10>>,<14,<13>,<>>>,<20,<16,<>,<18,<17>,<19>>>,<21>>>"
5 Implémenter une méthode publique infix_traversal() de parcours en profondeur infixé de l’arbre.
6 Valider le test unitaire suivant :
abr.infix_traversal() == [8, 10, 12, 13, 14, 15, 16, 17, 18, 19, 20, 21]
7 Insérer un nœud de clef = 15 et revalider les tests unitaires précédents.
Recherche
La recherche dans un ABR d'un nœud ayant une clé particulière est un procédé récursif. On commence par examiner la racine. Si sa clé est la clé recherchée, l'algorithme se termine et renvoie la racine. Si elle est strictement inférieure, alors elle est dans le sous-arbre gauche, sur lequel on effectue alors récursivement la recherche. De même si la clé recherchée est strictement supérieure à la clé de la racine, la recherche continue dans le sous-arbre droit. Si on atteint une feuille dont la clé n'est pas celle recherchée, on sait alors que la clé recherchée n'appartient à aucun nœud.
8 Ajouter une méthode publique search() qui recherche une clé dans l’arbre et retourne True si la clé est trouvée, False sinon.
9 Valider les tests unitaires suivants :
abr.search(16) == True
abr.search(9) == False
On peut comparer l'exploration d'un ABR avec la recherche par dichotomie qui procède à peu près de la même manière, sauf qu'elle accède directement à chaque élément d'un tableau au lieu de suivre des liens. La différence entre les deux algorithmes est que, dans la recherche dichotomique, on suppose avoir un critère de découpage de l'espace en deux parties que l'on n'a pas dans la recherche dans un ABR.
Exercice n° 02 : arbre binaire de recherche des Pokemons
Seulement sur Thonny
On aura besoin d’un module d’affichage pip install binarytree.
Ici, on utilisera les fonctions d’interface (primitives) suivantes :
Les fonctions liées aux Nœuds :
nvND(cle:Cle, data:Data) -> Noeud: on crée un nouveau noeud et son élément attaché. Ce n'est pas une fonction d'interface de l'arbre, mais on a besoin au moins de pouvoir créer un Noeud.cle(noeud:Noeud) -> Cle: renvoie la clé ou l'étiquette du noeud.data(noeud:Noeud) -> Data: renvoie les données associées au noeud.
Les fonctions liées à l'Arbre Binaire lui-même :
nvAV() -> Arbre: on le note ainsi pour dire nouvelArbreVide : on crée un nouvel ARBRE BINAIRE vide.nvAB(r:Noeud, g:Arbre, d:Arbre) -> Arbre: on crée un nouvel ARBRE BINAIRE dont la racine est r et dont les sous-arbres sont g et d fournis.estArbreVide(arbre:Arbre) -> bool: True si l'arbre est un arbre vide.racine(arbre:Arbre) -> Noeud: renvoie le noeud jouant le rôle de la racine pour cet arbre.gauche(arbre:Arbre) -> Arbre: renvoie le sous-arbre gauche de arbre. On obtient bien un Arbre. Si vous voulez le noeud gauche, il faudra appliquer en plus la fonctionracine.droite(arbre:Arbre) -> Arbre: renvoie le sous-arbre droit de arbre.
Collection des Pokemon

Nous allons récupérer un fichier CSV contenant les données de 800 Pokémons. Pour rappel, il s'agit d'un simple fichier texte :
- Un enregistrement (ici un pokemon) par ligne : le passage à la ligne est donc le caractère séparateur pour les enregistrements.
- Sur chaque enregistrement, les différents attributs ou champs sont séparés par une virgule (ou un point-virgule ou autre)
Si on rajoute les éléments importants en rouge (dont le passage à la ligne (invisible à l'affichage)↲):
#,Name,Type 1,Type 2,Total,HP,Attack,Defense,Sp. Atk,Sp. Def,Speed,Generation,Legendary↲
1,Bulbasaur,Grass,Poison,318,45,49,49,65,65,45,1,False↲
2,Ivysaur,Grass,Poison,405,60,62,63,80,80,60,1,False↲
3,Venusaur,Grass,Poison,525,80,82,83,100,100,80,1,False↲
Le but ici est d'utiliser les enregistrements pour construire l'ABR.
Au final, vous aurez donc une variable nommée pokemons qui est un simple tableau qui contiendra les enregistrements (sous forme de dictionnaires).
Voici le début du contenu du tableau pokemons :
pokemons = [
{
'#': '1',
'Name': 'Bulbasaur',
'Type 1': 'Grass',
'Type 2': 'Poison',
'Total': '318',
'HP': '45',
'Attack': '49',
'Defense': '49',
'Sp. Atk': '65',
'Sp. Def': '65',
'Speed': '45',
'Generation': '1',
'Legendary': 'False'
},
{'#': '2', 'Name': 'Ivysaur', 'Type 1': 'Grass', 'Type 2': 'Poison', 'Total': '405', 'HP': '60', 'Attack': '62', 'Defense': '63', 'Sp. Atk': '80', 'Sp. Def': '80', 'Speed': '60', 'Generation': '1', 'Legendary': 'False'},
{'#': '3', 'Name': 'Venusaur', 'Type 1': 'Grass', 'Type 2': 'Poison', 'Total': '525', 'HP': '80', 'Attack': '82', 'Defense': '83', 'Sp. Atk': '100', 'Sp. Def': '100', 'Speed': '80', 'Generation': '1', 'Legendary': 'False'},
{'#': '3', 'Name': 'VenusaurMega Venusaur', 'Type 1': 'Grass', 'Type 2': 'Poison', 'Total': '625', 'HP': '80', 'Attack': '100', 'Defense': '123', 'Sp. Atk': '122', 'Sp. Def': '120', 'Speed': '80', 'Generation': '1', 'Legendary': 'False'},
...
]
-
Comment obtenir l'enregistrement d'index 0 contenu dans
pokemons? -
Comment obtenir l'ensemble des clés disponibles sur cet enregistrement ? Comment afficher une par une les clés ?
-
Comment afficher un par un les couples (clé, valeur) sur cet enregistrement ?
-
Comment afficher un par un les couples (c, v) sous la forme "La clé {c} est associée à la valeur {v}" ?
-
Comment obtenir la valeur associée à la clé "Attack" pour l'enregistrement d'index 0 contenu dans
pokemons? -
Comment faire la même chose, mais en récupérant un entier ?
Récupération des données
Nous allons maintenant télécharger
- le fichier CSV
- Un module
creation\_collect.pypermettant de créer la collection sous forme d'un tableau de dictionnaires - Un module
abr.pypermettant de gérer les ABR
Voici la description des 3 fonctions d'interface qui vont nous être utiles au début :
def nvND(cle: Cle, data: Data = None) -> Noeud:
'''Renvoie la référence d'un nouveau Noeud ayant cle comme clé et data comme données annexes'''
def nvABR(racine: Noeud, g: Arbre = nvAV(), d: Arbre = nvAV()) -> ABR:
'''Renvoie la référence d'un nouvel Arbre dont le noeud-racine est racine et les sous-arbre g et d'''
def inserer_noeud_dans_ABR(arbre: ABR, nd: Noeud) -> None:
'''Insère le noeud dans l'ABR'''
La dernière fonction insère le Noeud en respectant l'algorithme vu pour les ABR.
7 Ouvrir le fichier nommé arbre\_pokemons.py et lancer le. Mettre le programme en mémoire, puis lancer les commandes suivantes pour vérifier que la documentation est bien présente :
>>> help(inserer_noeud_dans_ABR)
>>> help(nvABR)
>>> help(nvND)
Peut-on voir que certains paramètres ont une valeur par défaut ?
Peut-on voir qu'en réalité les objets ABR, Noeud... sont issus du module abr.py ?
8 Dessiner sur papier l'arbre créé en utilisant la fonction de test de création suivante :
def creation_test():
'''Renvoie un ABR de test'''
arbre = nvABR(nvND(20))
inserer_noeud_dans_ABR(arbre, nvND(25))
inserer_noeud_dans_ABR(arbre, nvND(15))
inserer_noeud_dans_ABR(arbre, nvND(17))
inserer_noeud_dans_ABR(arbre, nvND(10))
return arbre
Vérifier ensuite votre réponse en tapant simplement ceci :
>>> arbre = creation_test()
>>> print(arbre)
9 Rajoutons un nœud dont la clé est 21. Vérifiez qu'il se positionne bien en affichant l'arbre.
>>> inserer_noeud_dans_ABR(arbre, nvND(21))
10 Nous allons utiliser l'une des fonctions pour importer le fichier CSV et placer ces données dans une collection de dictionnaires.
def creation_cp():
'''Renvoie une collection-tableau de dictionnaires des pokemons'''
return creer_collection('pokemon.csv')
En regardant les importations, expliquer :
- dans quel module se trouve la fonction
creer_collection - pourquoi on a le droit de l'utiliser en notant simplement
creer_collectionet pasnom_du_module.creer_collection
11 Utiliser le jeu de commandes suivants pour comprendre le principe :
>>> collect = creation_cp()
>>> len(collect)
800
>>> collect[0]
{'#': '1', 'Name': 'Bulbasaur', 'Type 1': 'Grass', 'Type 2': 'Poison', 'Total': '318', 'HP': '45', 'Attack': '49', 'Defense': '49', 'Sp. Atk': '65', 'Sp. Def': '65', 'Speed': '45', 'Generation': '1', 'Legendary': 'False'}
>>> collect[1]
{'#': '2', 'Name': 'Ivysaur', 'Type 1': 'Grass', 'Type 2': 'Poison', 'Total': '405', 'HP': '60', 'Attack': '62', 'Defense': '63', 'Sp. Atk': '80', 'Sp. Def': '80', 'Speed': '60', 'Generation': '1', 'Legendary': 'False'}
>>> for index in range(0,10,1): print(collect[index]['Name'])
Bulbasaur
Ivysaur
Venusaur
VenusaurMega Venusaur
Charmander
Charmeleon
Charizard
CharizardMega Charizard X
CharizardMega Charizard Y
Squirtle
Essayons maintenant de voir ce que fait la dernière fonction : la fonction creation_aap.
12 Observer le code de la fonction et répondre aux questions :
def creation_cp():
'''Renvoie une collection-tableau de dictionnaires des pokemons'''
return creer_collection('pokemon.csv')
def creation_aap():
'''Renvoie un arbre contenant des noeuds-pokemons'''
pokemons = creer_collection('pokemon.csv')
choix = 'Attack'
arbre = nvAV()
for index in range(len(pokemons)):
d = pokemons[index] # d pour data (pour ne pas écraser la fonction data)
c = int(d[choix]) # c pour cle (pour ne pas écraser la fonction cle)
noeud = nvND(c, d)
if estArbreVide(arbre):
arbre = nvABR(noeud)
elif index < 41 :
inserer_noeud_dans_ABR(arbre, noeud)
return arbre
Ligne 30 : quel est l'attribut du dictionnaire choisi pour jouer le rôle de clé dans l'arbre ?
Ligne 32 : quel est le contenu de l'arbre initialement ?
Ligne 34 : la base des pokemons contient 800 pokemons. Quelle va être la valeur finale de la variable de boucle index ?
Ligne 35 : à chaque tour de boucle, la variable d va-t-elle contenir un enregistrement ou la valeur de la clé choisie ?
Ligne 36 : à chaque tour de boucle, la variable c va-t-elle contenir un string ou un entier ?
Ligne 37 : Quelle est la clé du noeud créé ? Quel est le contenu de l'attribut data associé à ce Noeud ?
Ligne 39 et suivantes : Que fait-on si l'arbre est vide lors du premier tour de boucle ?
Que fait-on si l'arbre n'est pas vide lors des autres tours de boucle ?
Quelle va être la taille de l'arbre à la fin de la boucle FOR ?
13 Utilisez le code suivant pour voir le principe de nos enregistrements stockés dans l'arbre à Pokemons (aap):
>>> arbre = creation_aap()
>>> print(arbre)

14 Utilisez les commandes suivantes pour répondre aux questions :
- quelle est la version d'utilisation qui correspond à un utilisateur ne connaissant pas l'implémentation exacte de l'ABR et qui utilise les fonctions d'interface ?
- quelle est la version d'utilisation qui correspond à un utilisateur connaissant l'implémentation actuelle et la manipulant directement ?
- sous quelle forme l'ABR est-il manifestement implémenté ?
- En cas de modification future de l'implémentation, quelle est la version d'utilisation à privilégier ?
Version 1 :
>>> cle(racine(arbre))
49
>>> data(racine(arbre))
{'#': '1', 'Name': 'Bulbasaur', 'Type 1': 'Grass', 'Type 2': 'Poison', 'Total': '318', 'HP': '45', 'Attack': '49', 'Defense': '49', 'Sp. Atk': '65', 'Sp. Def': '65', 'Speed': '45', 'Generation': '1', 'Legendary': 'False'}
>>> data(racine(arbre))['Name']
'Bulbasaur'
>>> g = gauche(arbre)
>>> data(racine(g))['Name']
'Squirtle'
>>> cle(racine(g))
48
>>> d = droite(arbre)
>>> data(racine(d))['Name']
'Ivysaur'
>>> cle(racine(d))
62
Version 2 :
>>> arbre.racine.cle
49
>>> arbre.racine.data
{'#': '1', 'Name': 'Bulbasaur', 'Type 1': 'Grass', 'Type 2': 'Poison', 'Total': '318', 'HP': '45', 'Attack': '49', 'Defense': '49', 'Sp. Atk': '65', 'Sp. Def': '65', 'Speed': '45', 'Generation': '1', 'Legendary': 'False'}
>>> arbre.racine.data['Name']
'Bulbasaur'
>>> g = arbre.gauche
>>> g.racine.data['Name']
'Squirtle'
>>> g.racine.cle
48
>>> d = arbre.droite
>>> d.racine.data['Name']
'Ivysaur'
>>> d.racine.cle
62
Recherche
15 Ouvrir le module abr.py. Retrouver un algorithme permettant de rechercher un noeud dans un ABR en utilisant les fonctions d'interface du module. Une fois l'algorithme retrouvé, implémentez-le dans la fonction recherche.
Renvoyez la valeur au lieu de True.
16 Tester l'absence d'erreur en lançant directement le module abr.py. Vérifiez ensuite que la fonction fonctionne : relancer le programme arbre_pokemons.py puis lancez ces commandes :
>>> aap = creation_aap()
>>> print(aap)
>>> recherche(aap, 49)
<abr.Noeud object at 0x7f0da76a0e48>
>>> reponse = recherche(aap, 102)
>>> data(reponse)['Name']
'Nidoking'
>>> data(recherche(aap, 102))['Name']
'Nidoking'
Affichage particulier
Premier avantage des ABR : les noeuds sont 'triés' entre eux. Du coup, on peut les afficher un par un de façon ... triée.
Il suffit de demander l'affichage infixe (la racine au milieu de l'affichage) !
Deuxième avantage : pour trouver la plus petite clé disponible, il suffit d'aller à gauche tant que le sous-arbre n'est pas vide.
Troisième avantage : pour trouver la plus grande clé, il suffit d'aller à droite tant que le sous-arbre n'est pas vide.
17 Afficher les attaques de 41 Pokemons stockées en utilisant simplement ceci :
>>> parcours_infixe(arbre)
20
25
30
35
45
45
45
47
48
49
52
55
56
57
60
60
60
62
62
63
64
72
75
80
80
81
82
83
84
85
90
90
90
92
100
100
102
103
104
130
150

18 Modifier parcours_infixe : il faudra afficher également le nom du Pokemon à côté de son score d'attaque.
>>> aap = creation_aap()
>>> parcours_infixe(aap)
20 pour Metapod
25 pour Kakuna
30 pour Caterpie
35 pour Weedle
45 pour Butterfree
45 pour Pidgey
45 pour Clefairy
47 pour Nidoran♀
48 pour Squirtle
49 pour Bulbasaur
52 pour Charmander
55 pour Pikachu
56 pour Rattata
57 pour Nidoran♂
60 pour Pidgeotto
60 pour Spearow
60 pour Ekans
62 pour Ivysaur
62 pour Nidorina
63 pour Wartortle
64 pour Charmeleon
72 pour Nidorino
75 pour Sandshrew
80 pour Pidgeot
80 pour PidgeotMega Pidgeot
81 pour Raticate
82 pour Venusaur
83 pour Blastoise
84 pour Charizard
85 pour Arbok
90 pour Beedrill
90 pour Fearow
90 pour Raichu
92 pour Nidoqueen
100 pour VenusaurMega Venusaur
100 pour Sandslash
102 pour Nidoking
103 pour BlastoiseMega Blastoise
104 pour CharizardMega Charizard Y
130 pour CharizardMega Charizard X
150 pour BeedrillMega Beedrill
19 A droite toute : rajouter dans le programme arbre_pokemon la fonction récursive cle_max : on transfère la plus grande valeur à chaque appel !
def cle_max(arbre, maximum=None):
if estArbreVide(arbre):
return maximum
else:
maximum = cle(racine(arbre))
return cle_max(droite(arbre), maximum)
Utilisation :
>>> aap = creation_aap()
>>> cle_max(aap)
150
>>> recherche(aap, 150)
<abr.Noeud object at 0x7fac40696f28>
>>> data(recherche(aap, 150))['Name']
'BeedrillMega Beedrill'
20 A gauche toute : créer dans le programme arbre_pokemon la fonction récursive cle_min : on transfère la plus petite valeur à chaque appel !